在分析放大电路的频响特性时,实际上解决的是放大电路的低频截止频率ωL(或fL)和高频截止频率ωh(或fh)与电路结构、元件参数之间的关系问题。
对所设计的放大电路,总希望中频增益范围越宽越好。然而,由于有耦合电容和旁路电容的影响,在频率的低端区增益会下降,而在频率的高端区,则由于分布电容及晶体管极间电容的影响增益也会下降,这样放大电路频带宽度将会受到一定的制约。通常根据通带的低端频率和高端频率来区分哪些电容对低频响应起作用,哪些电容对高频响应起作用,从而分别构造出相应的低频和高频的电路模型,以便对电路的频率响应做出正确的分析。
本文正是通过对放大电路的瞬态响应、稳态响应、以及二者之间关系的分析,较详细地剖析了放大电路的频响分析过程,为放大电路的分析和设计提供了必要的分析方法。
01、放大电路的瞬态分析
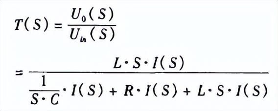
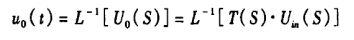
在分析电路瞬态响应时,电路处于非稳定状态。为了计算方便,对电路的输入和输出函数施行拉氏变换,由此求出相应的传递函数,由传递函数来分析研究电路的传输情况。如图1所示电路,如取电感电压uL(t)为电路的输出电压u0(t),显然有


则传递函数为


由此可得输出电压的时域形式:

由上分析可知,在电路的瞬态响应分析中,采用传递函数来分析研究电路的传输情况是非常方便的,由传递函数的零极点便可确定电路的传输特性。如已知输入,则输出电压u0(t)就完全由代表电路特性的零极点所决定。
02、放大电路的稳态分析
当放大电路进入稳定状态后,电路中所有变量均为同频率的周期函数。与研究放大电路瞬态响应一样,稳态响应中放大电路的传输情况也是本文研究的重点。在进行放大电路稳态分析时,需要构造出相应的电路模型,而电路模型是在一定的假设条件下建立起来的。对处于低频段和高频段的放大电路来说,在相应的假设条件下所构造的电路模型是不同的。因此,放大电路的低频稳态响应和高频稳态响应需分别进行分析。
放大电路的低频稳态响应
对于低频段的放大电路来讲,由于频率相对较低,所以,可以忽略晶体管极间电容的影响作用,将该电容看成是开路的。这样,便构造了放大电路的低频电路模型。图2电路便是低频交流放大电路的电路模型。

该传输系数虽有三个极点,但电路的低频特性主要是由绝对值最大的极点来决定,即电路的低频截止频率等于绝对值最大的极点值。
放大电路的高频响应
分析放大电路的高频响应时,需采用高频电路模型。这时,电路中的分布电容的影响须考虑在内,而可以忽略耦合电容和旁路电容对电路的影响。图4即为图2放大电路的高频交流等效电路。

由上分析可知,该电路有一个零点,两个极点,在给定电路元件参数值的情况下,便可由传输系数确定该电路的频响特性。
03、放大电路的瞬态响应与稳态响应的联系
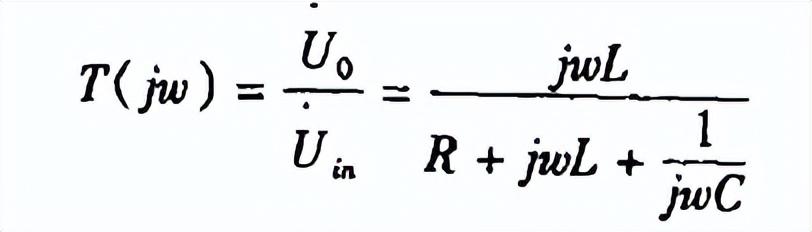
以上对放大电路的瞬态响应与稳态响应进行了分析,显然,二者的分析方法相近。在瞬态响应分析中,电路的输入和输出关系是由拉氏变换所确定的传递函数来表述的,而在稳态响应分析中,电路的输入和输出关系是通过电路的传输系数来表述的。那么二者之间有何内在的联系呢?对于图1电路来讲,由前面分析可知,当该电路处于瞬态响应时,其传递函数为:


而当该电路处于稳态响应时,其传输系数应为:


显然,上述两个数学表达式具有完全相同的函数形式,也就是说,如求出了该电路瞬态响应中的传递函数T(S),而将传递函数T(S)中的变量S换成变量jω,便可求得传输系数T(jω)的数学表达式。反之,如求出了该电路稳态响应中的传输系数T(jω),而将传输系数T(jω)中的变量jω换成变量S,便可求得传递函数T(S)的数学表达式。在实际工程中,由于对电路变量施行拉氏变换较为复杂,因此,在计算分析时,一般则先求出电路的传输系数T(jω),然后,再通过变量替代求出该电路的传递函数T(S)。
综上所述,极点不但对正弦稳态低频截止频率起主要作用,而且,对时间特性同样也起主要作用。在利用极点分析电路频响特性时,应注意决定低频域截止频率的主要是数值较大的极点频率。
04、总结
放大电路的频响分析由两部分组成,一是瞬态响应分析部分,另一是稳态响应分析部分。两部分的分析方法基本相同,而且,在分析中都与电路的极点值有关。在对电路进行瞬态响应分析时,是通过传递函数T(S)来表征电路传输情况的;而在对电路进行稳态响应分析时,是通过传输系数T(jw)来表征电路传输情况的,但二者间却存在着密切的联系。同时,截止频率与极点频率,在放大电路的频响分析中起着重要的作用。
综上对放大电路所作的频响分析,这在放大电路的分析和设计中是非常重要的,它为放大电路的分析和设计提供了必要的理论分析方法。
扫一扫咨询微信客服