运算放大器(Operational Amplifier)是一种差分放大器,具有高输入电阻、低输出电阻、高开放增益(开环增益),并具有可放大+输入引脚与-输入引脚间的电压差的功能。 每个电路由正侧电源引脚、负侧电源引脚、+输入引脚、-输入引脚、输出引脚等5个引脚构成。
运算放大器、比较器的图解符号

运算放大器的电源引脚名称示例

运算放大器要求的功能有高输入电阻(阻抗)和低输出电阻。 在下图【电压控制电压源放大器模型】中,输入电压和输出电压的关系如以下公式所示。
电压控制电压源放大器模型


信号电压Vs是通过电阻分压由信号源电阻Rs和运算放大器的输入电阻Ri分压而得,因此衰减的信号被输入运算放大器。 但是,当Ri远远大于Rs(Ri=∞)时,公式的第1项可视作近似于1、Vs=Vi。 关于以下第2项,放大了的输入电压AvVi被运算放大器的输出电阻Ro和负载电阻RL分压输出。 此时,当Ro远远小于RL(Ro=0)时,第2项可近似于1,信号可在不衰减的状态下输出。 这样的运算放大器被称为理想运算放大器。 一般希望运算放大器具有高输入电阻、低输出电阻,尽量设计为接近理想运算放大器的电路结构。

信号电压Vs是通过电阻分压由信号源电阻Rs和运算放大器的输入电阻Ri分压而得,因此衰减的信号被输入运算放大器。 但是,当Ri远远大于Rs(Ri=∞)时,公式的第1项可视作近似于1、Vs=Vi。 关于以下第2项,放大了的输入电压AvVi被运算放大器的输出电阻Ro和负载电阻RL分压输出。 此时,当Ro远远小于RL(Ro=0)时,第2项可近似于1,信号可在不衰减的状态下输出。 这样的运算放大器被称为理想运算放大器。 一般希望运算放大器具有高输入电阻、低输出电阻,尽量设计为接近理想运算放大器的电路结构。

运算放大器按其放大率放大引脚间的电压差,因此输出电压表示如下。

当运算放大器的开放增益Av足够大时,可视为左边近似于0、Vs=VOUT。 增益较低时,公式左边不可近似于0,这样,输出电压会发生误差。 之所以希望运算放大器有高开放增益,是因为通过该增益可尽量缩小输出电压误差。 高开放增益从其他角度来看,意味着应尽量减小+输入引脚和-输入引脚间的电位差。即,开放增益越大,VIN+=VIN-的关系成立的可能性就越大。该+输入引脚和-输入引脚的电位基本相等的关系被称为虚短、虚断或虚拟接地。 构成负反馈电路使用时,该关系成立,可利用虚拟接地的特性设计应用电路。
比较器(Voltage Comparator)的引脚结构与运算放大器相同,即由+输入引脚、-输入引脚、正侧电源引脚、负侧电源引脚、输出引脚等5个引脚构成。 该电路使用任一输入引脚为基准引脚来固定电压,放大该基准电压与输入另一个引脚的电压间的差,输出High或Low。
+输入引脚的电位 > -输入引脚的电位成立时,输出High级 -输入引脚的电位 > +输入引脚的电位成立时,输出Low级
运算放大器与比较器的很大差异是有无相位补偿电容。 由于运算放大器构成负反馈电路使用,因此需要在IC内部设置防振相位补偿电容。 而比较器未构成负反馈电路,因此未内置相位补偿电容。 由于相位补偿电容限制了输入-输出间的响应时间,因此无相位补偿电容的比较器具有比运算放大器更好的响应性。 另一方面,根据该相位补偿电容的有无,将运算放大器作为比较器使用时,因受相位补偿电容限制,其响应性远远低于比较器。 运算放大器作为比较器使用时需要注意。
运算放大器比较器基础
运算放大器的内部电路结构如下所示。
一般由输入段、增益段、输出段等3段电路构成。输入段由差分放大段构成,用于放大两个引脚间的电压差。 另外,同相信号成分(引脚间无电位差,输入相等电压的状态)不放大,起抵消作用。若仅靠该差分放大电路,则增益不足,因此使用增益段进一步增加运算放大器的开放增益。普通运算放大器的增益段间连接了防振相位补偿电容。为了避免因受输出引脚上连接的电阻等的负载的影响使运算放大器的特性发生变化,作为缓冲器连接了输出段。负载引起的输出特性的变化(失真、电压下降等)主要由输出段的电路结构和电流能力决定。
一般输出段的种类有A类、B类、C类、AB类输出电路,这是根据输出电路中流动的驱动电流量(偏压的差别)进行分类的。根据驱动电流量的不同,输出段发生的失真系数水平会发生变化。一般电路失真的顺序从小到大依次为A类、AB类、B类、C类。

比较器的电路结构如下所示。 电路结构基本与运算放大器相同,但由于未考虑构成负反馈电路使用的情况,因此未内置防振用相位补偿电容。 由于相位补偿电容可限制输入输出间的工作速度,因此与运算放大器相比,响应时间明显提高。 比较器的输出电路形式主要分为集电极开路(漏极开路)型和推挽输出型。 虽表示为BA10393的内部等效电路,不过这也是集电极开路型的输出电路。

根据输入/输出电压范围的差异,运算放大器(运放)大致分为“双电源运算放大器”、“单电源运算放大器”、“轨到轨运算放大器”三种类型。每种运算放大器的输入/输出电压范围如下图所示:
由于运算放大器通常会放大接近0V的微小信号,因此当双电源运算放大器需要0V的输入时,就需要将VEE设置为负1.5V以下。正因为此,在大多数情况下需要使用负电源,并且需要正负两种电源,故被称为“双电源运算放大器”。
当输入接近0V的信号时,如果使用双电源(通用)运算放大器,就需要负电压;而单电源运算放大器是一种无需使用此负电压也可以输入的运算放大器。因其可以检测到接地电平的输入信号,故也被称为“接地检测运算放大器”。
随着近年来节能化趋势的发展,采用低压驱动方式的设备越来越多。运算放大器也同样需要在低电压下工作,但是如果VCC电压降至5V附近,则单电源运算放大器只能输入最高比VCC低1.5V的电压,存在不便之处。于是,出现了即使输入电压从VEE到VCC波动也可以正常工作的轨到轨运算放大器。
因其可以在电源电压(VEE~VCC)范围内进行输入/输出,故也被称为“输入/输出满摆幅运算放大器”。
如欲了解各种运算放大器的应用电路示例,请参阅以下链接中的应用指南。
随着产品的电子化和高密度化发展,噪声环境变得越来越差,对于放大传感器等微小信号的运算放大器来说,降噪对策已经成为重要课题。 近年来,已经推出了很多抗雜訊运算放大器,市场对这类产品的需求也与日俱增。在这里介绍一下这些噪声的定义。
噪声通常被称为“EMC(Electromagnetic Compatibility,电磁兼容性)”,是指“不对其他设备产生噪声干扰;即使受到来自其他设备的噪声干扰,仍保持原有的性能”这两种性能。但是,在现场中具体使用时,使用“EMI”和“EMS”这两种由EMC分类出来的表达方式。

EMI是用来衡量对象产品的运行产生多少噪声、是否给外围IC和系统带来问题的指标。“良好的EMI特性”意味着产生的噪声很少。 运算放大器的噪声被称为“等效输入噪声电压”,是由电路和工艺因素引发的。该噪声在放大信号时成为误差电压,并影响放大的精度。

ROHM拥有丰富的低噪声运算放大器产品阵容。如欲获取详细信息,请点击产品页面。
噪声干扰可能会引发IC或设备发生误动作。 EMS是用来衡量对象产品即使受到噪声干扰也不会发生误动作的能力和抵抗力的指标。因此,“良好的EMS特性”意味着不容易受到噪声的影响。 在运算放大器行业,“EMS特性良好且不易受噪声影响”这一特性,因其具有出色的抗外部噪声电磁干扰(EMI)能力而被表述为“抗EMI性能优异/出色”“抗电磁干扰能力好。
“EMS特性良好” = “抗EMI性能出色”换句话说,抗EMI性能出色的运算放大器是指不易受外部噪声影响的运算放大器。

ROHM还拥有抗EMI性能出色的运算放大器产品阵容。
若给放大电路的输入增加电压,则在其输出时,会出现输入电压放大率的倍数。该放大率用输出电压的大小除以输入电压的大小所得的值表示。 若将输入电压表示为Vs 、输出电压表示为Vo 、放大率表示为Av,则可定义如下。

放大率常用对数的20倍用分贝[dB]单位表示。 例如,运算放大器的开放增益为100000倍(105倍)时,可将其用分贝表示如下。

这样,即使是有10的多个次方的庞大放大率,若使用分贝表示,就可表示为较小数值100[dB]。 另外,以下整理了表示模拟电路所需的各种单位。
(a) dB : 2个量之比的对数的10倍或20倍。

(b) Vp-p : 波形的最大值与最小值之差。
© Vrms : 有效值 平方均值的平方根。
1Vrms = 2√2
(d) dBV : 以1Vrms为基准的表达式。
0dBV= 1Vrms
(e) dBm : 以对某负载产生1mW的功率的电压为基准。 普通负载的值多为50Ω、600Ω等。
0dBm=0.224Vrms (负荷为50Ω时)
0dBm=0.775Vrms (负荷为600Ω时)
(f) oct : 为“倍频程”,1oct表示某频率的2倍的值。
-6dB/oct表示频率为2倍时,降低6dB。
(g) dec : 为“十倍频程”,1dec表示某频率的10倍。
-20dB/oct表示频率为10倍时,降低20dB。
※根据(f)、(g)、 -6dB/oct= -20dB/dec。
(h) dB(分贝)计算基础
3dB ≒ 1.41倍 ≒ √2
6dB ≒ 2.00倍
10dB ≒ 3.16倍
20dB ≒ 10倍
ex)16dB=10dB+6dB → 3.16×2=6.32倍
输入偏置电压是指有差分输入电路的运算放大器或比较器带有的误差电压。理想运算放大器或比较器的偏置电压为0V。 给运算放大器或比较器的输入引脚输入同相(相同)电压时,理想运算放大器不会输出偏置电压,但存在输入偏置电压时,就会输出与输入偏置电压相应的输出电压。 将该输出电压控制为0V所需的输入引脚间的电压差被称为输入偏置电压,该值为输入换算值。 作为输入换算表示的优点是,由于运算放大器、比较器可在各种放大率或电路结构中使用,若作为输入换算电压表示,那么就可以轻松地估量其对输出电压的影响。 偏置电压的单位一般表示为[mV]或[µV]。 值越接近0越趋于理想状态。
在同相输入范围外的领域,偏置电压急剧增加,此领域内不再作为运算放大器或比较器进行工作。 另外,对偏置电压的出现频率进行观测,发现其以0V为中心正常分布。 即,在规定范围内随机分布。 通常,规格值的表示以绝对值记载,因此实际上具有+极性和-极性两种偏置电压。
转换速率是表示运算放大器的工作速度的参数。 表示输出电压在规定的单位时间可变化的比例。 例如,1[V/µs]表示在1[µs]内可使电压发生1[V]的波动。 理想运算放大器可忠实地输出任何输入信号对应的输出信号,但实际上还存在一种叫做转换速率的限制。 给输入施加上升沿和下降沿比较陡峭的矩形波脉冲时,表示输出电压在单位时间内可发生什么程度的变化。下图表示转换速率的定义。
【转换速率测量电路和波形图】

上升沿和下降沿的转换速率按下式计算。

转换速率按“上升沿”或“下降沿”中较慢的一方为基准进行规定。 因此,表示运算放大器输出信号的斜率的最大值。 对于波动更剧烈的信号,输出波形难以跟随而发生变形。构成放大电路时,转换速率是输出变化的比例,因此不会发生变化。
运算放大器用于直流、交流两者的信号放大。 运算放大器受响应速度限制,并非可处理任何信号。 在上图所示的电压跟随器结构中,直流电压输入受到输入电压范围和输出电压范围的限制。 此外,带有频率的交流信号还受到增益带宽积和转换速率的制约。
此处对振幅与频率的关系,即转换速率加以考虑。 求运算放大器可输出的最大频率。
【正弦波】

求输出右图所示波形所需的转换速率。
y=Asinωt
转换速率是正弦波的切线的斜率,故对上式进行微分。
转换速率为
SR=Aω ω=2πf
再者,正弦波的振幅是峰间值,VPP=2A,因此,可进行如下变形。
该频率f被叫做全功率带宽。 它们处于运算放大器未设定放大率的状态,即电压跟随器中运算放大器的可输出振幅(在输出电压范围内)与频率的关系。
例)在SR=1V/µs的运算放大器中,可输出1VPP信号的频率为
振幅保持不变且超过上述求得的频率时,波形受转换速率限制,正弦波变为三角波,发生失真。
运算放大器是具有高电压增益的放大器,但几乎不是运算放大器单体进行放大。 原因是开环增益存在偏差,或带宽较窄,难以控制放大率。 因此,一般构成负反馈电路后使用。 下图表示负反馈系统的模型。

构成负反馈电路可举出以下几个优点。
[构成负反馈电路的优点]
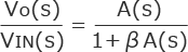
首先求出该模型的输入与输出的关系,即传递函数。
AO : 运算放大器开环增益
β : 反馈率
1+βA(s) : 反馈量
环路增益 : βA(s)
另外如下式所示,运算放大器具有1阶滞后传递函数。
上图的频率特性用上式关系进行了解释。 可以发现,由于采用了负反馈,增益变小,变为反馈量的 1/(1+βAO),带宽从ωO扩大到了 ωO(1+βAO)。
在输入与输出的传递函数公式中,假设运算放大器的开环增益足够大,即AO»1,则低频的负反馈电路的增益可近似于1/β。 即运算放大器的开环增益较大时,反馈电路的增益与运算放大器的增益无关,仅由反馈率决定。 同样,反相放大器等的放大电路的低频放大率仅由外置电阻决定。 另外,运算放大器的开环增益足够大即AO»1 时,即便因温度特性或制造偏差而使运算放大器的开环增益多少发生变动,所受的影响也比较小。

下图表示含有误差要素的反馈电路。 此处将运算放大器中发生的误差要素表示为VD。 含有失真、误差电压、噪音等要素。
下式表示含有失真的传递函数。 如公式所示,增益A(s)越大 VD项越小,这样可抑制误差。
相反,构成负反馈电路可举出以下几个缺点。
[构成负反馈电路的缺点]
与开环增益相比,电路的放大率降低。 反馈使电路变得易振荡。
绝对最大额定项目是指即便是瞬间性的也是不可超越的条件。 施加了超过绝对最大额定值的电压或在绝对最大额定值规定的温度环境外使用时,可能会导致IC的特性退化或损坏。 对运算放大器、比较器规定的绝对最大额定值的项目的意义加以说明。
绝对最大额定电源电压是指,保证内部电路的特性无退化、无损坏的前提下,运算放大器的正侧电源引脚(VCC引脚)和负侧电源引脚(VEE引脚)间可施加的最大电源电压。 表示绝对最大额定电源电压为36V的运算放大器、比较器中可施加的电源电压示例。

绝对最大额定电源电压表示 VCC引脚与VEE引脚间的电压差,使用时需要避免使 (VCC-VEE)的值超出绝对最大额定电源电压值。 因此,给 VCC引脚施加24[V]、给VEE引脚施加-12[V]时,引脚间的电压差为36V,不会产生特性退化或损坏的问题。 必须注意的是,绝对最大额定电源电压与工作电源电压的含义不同。 绝对最大额定电源电压是表示不引起IC特性退化或损坏的范围内可施加的最大电源电压值,并非可维持规格、特性的电压范围。 为了发挥规格中保证的特性,需要使用工作电源电压范围内的电压值。 但是,有些产品也存在绝对最大额定电源电压与工作电源电压的最大值相同的情况。
差分输入电压是指+输入引脚(非反向输入引脚)与-输入引脚(反向输入引脚)间在IC的特性无退化、无损坏的前提下可施加的最大电压值。 该电压既可以+输入引脚为基准,也可以-输入引脚为基准,表示两个引脚间的电压差。极性并非那么重要。 但是前提是各输入引脚的电位大于VEE引脚的电位。 原因是IC内置静电破坏保护元件,当输入引脚的电位低于VEE时,电流会通过静电破坏保护元件从引脚流出,从而可能导致IC的特性退化或损坏。 保护元件的形式有2种,下图左侧的输入引脚与VEE(GND)间连接的情况,和右侧输入引脚与VCC、VEE(GND)两者连接的情况。 前者因VCC侧不存在电流流经的路径,因此差分电压与VCC的值无关,而由输入引脚上连接的晶体管(NPN晶体管、PNP晶体管等)的耐压等决定。 后者因VCC侧也有保护元件,且输入引脚需要VCC以下的电位,因此,差分输入电压由VCC-VEE或VDD-VEE决定。
运算放大器中使用了NPN差分输入段,为了对晶体管的基极-发射极间进行保护,有时会在输入引脚间连接钳位二极管,也有规定几伏差分输入电压的产品。

绝对最大额定值的同相输入电压是指,将+输入引脚(非反向输入引脚)与-输入引脚(反向输入引脚)设定为相同电位的状态下,在IC特性无退化、无损坏的前提下可施加的最大电压值。 绝对最大额定值的同相输入电压与电气特性项目中的同相输入电压范围不同,并不保证IC的正常工作。 期望IC进行正常工作时,需要满足电气特性项目的同相输入电压范围。 一般绝对最大额定值的同相输入电压为VEE-0.3[V]、VCC+0.3[V],而VCC侧没有保护元件的产品不受电源电压限制,可施加绝对最大额定值的电源电压(VEE+36V等)。 这样,同相输入电压由输入引脚的保护电路结构、寄生元件、输入晶体管的耐压等决定。 另外,VEE-0.3V或VCC+0.3V的0.3V表示对静电破坏保护元件(二极管)施加正向电压时元件不工作的电压范围。
在“差分输入电压”和“同相输入电压”中,输入低于VEE-0.3V或高于VCC+0.3V的电压时,电流可能流入或流出输入引脚,使IC特性退化或损坏。 防止发生此问题的方法有两种,一种是在输入引脚设置钳位用正向电压小型二极管,另一种是插入电阻,限制输入引脚中流动的电流。 第一种方法是限制输入IC的电压,第二种方法是限制电流。 请设置电阻使输入电流小于10mA。VF是二极管的正向电压,约为0.6V。
工作温度范围是指可维持IC所期待的功能,进行正常工作的范围。 IC的特性会因温度的不同而发生变动。 因此,未作特别指定时,25℃环境下规定的规格值不能保证不变。 作为保证温度范围的项目,有全温度范围保证项目。 这是工作温度范围内考虑了IC特性变动的规格值。
最大接合部温度是指半导体工作的最大温度。 另外,接合是指PN接合。 芯片温度高于规定的最大接合温度时,在半导体结晶中生成多个电子孔对,芯片再不可作为元件正常工作。 因此,使用和进行热设计时,需要考虑IC消耗的功率引起的散热或环境温度。 最大接合部温度由制造工艺决定。 保存温度范围表示IC在不工作的状态,即无消耗功率的状态下保存环境的最大温度。 一般与最大接合部温度的值相同。
容许损耗(总损耗)PD表示环境温度Ta=25℃(常温)时IC可消耗的功率。 IC消耗功率时会自发热,因此芯片温度比环境温度高。 由于芯片容许温度由最大接合部温度决定,因此,可消耗功率受减热曲线(降额曲线)限制。 封装内的IC芯片在25℃环境下的容许损耗由容许温度(最大接合部温度)与封装的热电阻(散热性)决定。 而接合温度的最大值由制造工艺决定。
IC的功率消耗产生的热通过封装的模具树脂或引线框等散热。 表示该散热性(散热难易度)的参数被称为热电阻,用符号θj-a[℃/W]表示。 可根据该热电阻推测封装内部的IC温度。 下图表示封装的热电阻模型。θj-a表示芯片-外壳(封装)间的热电阻θj-c与外壳(封装)-外部间的热电阻θc-a之和。 只要知道了热电阻θj-a、环境温度Ta、消耗功率P的值,就可通过下式求出接合温度。
Tj = Ta + θj-a × P [W]
下图表示减热曲线(降额曲线)的示例。 该曲线是表示在某环境温度下IC可消耗多少功率的图,表示IC芯片在不超出容许温度的范围内可消耗的功率。 例如可考虑MSOP8的芯片温度。 该IC的保存温度范围为-55[℃]~150[℃],因此芯片的最大容许温度为150[℃]。MSOP8的热电阻为θj-a≒212.8[℃/W],该IC在Ta=25[℃],消耗0.58[mW]的功率时,接合温度为
Tj = 25[℃] + 212.8[℃/W] × 0.58[W] ≒ 150[℃]
可以发现,由于已达到芯片的最大容许温度,因此不能消耗更大的功率。 减热曲线的每1[℃]的减少值由热电阻的倒数决定。 此处,SOP8 : 5.5[mW/℃] SSOP-B8 : 5.0[mW/℃] MSOP8 : 4.7[mW/℃]。

扫一扫咨询微信客服